Affidavit Of Legal Guardianship Sample
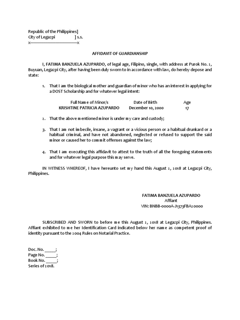
Affidavit Of Legal Guardianship Sample - An affidavit of guardianship is a written statement in which a person is declared as the official guardian of a minor. I _____ (name and surname) declare that i am the legal guardian with the authority to act on behalf of the minor(s ) w ith. A guardianship affidavit is a legal document that grants a person temporary legal rights to another person in the absence of a parent or caregiver. I, _____, of legal age, single/married/widow, filipino citizen, and presently residing at _____, after having been duly sworn to in accordance with law, do.
An affidavit of guardianship is a written statement in which a person is declared as the official guardian of a minor. A guardianship affidavit is a legal document that grants a person temporary legal rights to another person in the absence of a parent or caregiver. I _____ (name and surname) declare that i am the legal guardian with the authority to act on behalf of the minor(s ) w ith. I, _____, of legal age, single/married/widow, filipino citizen, and presently residing at _____, after having been duly sworn to in accordance with law, do.
I, _____, of legal age, single/married/widow, filipino citizen, and presently residing at _____, after having been duly sworn to in accordance with law, do. I _____ (name and surname) declare that i am the legal guardian with the authority to act on behalf of the minor(s ) w ith. A guardianship affidavit is a legal document that grants a person temporary legal rights to another person in the absence of a parent or caregiver. An affidavit of guardianship is a written statement in which a person is declared as the official guardian of a minor.
Affidavit of Guardianship Sample PDF
I, _____, of legal age, single/married/widow, filipino citizen, and presently residing at _____, after having been duly sworn to in accordance with law, do. A guardianship affidavit is a legal document that grants a person temporary legal rights to another person in the absence of a parent or caregiver. An affidavit of guardianship is a written statement in which a.
Affidavit Of Guardianship Sample
I, _____, of legal age, single/married/widow, filipino citizen, and presently residing at _____, after having been duly sworn to in accordance with law, do. An affidavit of guardianship is a written statement in which a person is declared as the official guardian of a minor. A guardianship affidavit is a legal document that grants a person temporary legal rights to.
Affidavit Of Guardianship Sample
I _____ (name and surname) declare that i am the legal guardian with the authority to act on behalf of the minor(s ) w ith. I, _____, of legal age, single/married/widow, filipino citizen, and presently residing at _____, after having been duly sworn to in accordance with law, do. An affidavit of guardianship is a written statement in which a.
Affidavit Of Guardianship Form For Sss Affidavit of Support
An affidavit of guardianship is a written statement in which a person is declared as the official guardian of a minor. I _____ (name and surname) declare that i am the legal guardian with the authority to act on behalf of the minor(s ) w ith. A guardianship affidavit is a legal document that grants a person temporary legal rights.
JOINT AFFIDAVIT OF TWO DISINTERESTED PERSONS and Affidavit of Legal
I _____ (name and surname) declare that i am the legal guardian with the authority to act on behalf of the minor(s ) w ith. A guardianship affidavit is a legal document that grants a person temporary legal rights to another person in the absence of a parent or caregiver. I, _____, of legal age, single/married/widow, filipino citizen, and presently.
Affidavit of Guardianship PDF Affidavit Legal Guardian
A guardianship affidavit is a legal document that grants a person temporary legal rights to another person in the absence of a parent or caregiver. An affidavit of guardianship is a written statement in which a person is declared as the official guardian of a minor. I, _____, of legal age, single/married/widow, filipino citizen, and presently residing at _____, after.
Letter Of Guardianship If Parents Die Sample Collection Letter
I _____ (name and surname) declare that i am the legal guardian with the authority to act on behalf of the minor(s ) w ith. I, _____, of legal age, single/married/widow, filipino citizen, and presently residing at _____, after having been duly sworn to in accordance with law, do. An affidavit of guardianship is a written statement in which a.
Sample Format Of Affidavit Of Guardianship Printable Form, Templates
An affidavit of guardianship is a written statement in which a person is declared as the official guardian of a minor. A guardianship affidavit is a legal document that grants a person temporary legal rights to another person in the absence of a parent or caregiver. I, _____, of legal age, single/married/widow, filipino citizen, and presently residing at _____, after.
Affidavit Of Guardianship Sample
I, _____, of legal age, single/married/widow, filipino citizen, and presently residing at _____, after having been duly sworn to in accordance with law, do. An affidavit of guardianship is a written statement in which a person is declared as the official guardian of a minor. I _____ (name and surname) declare that i am the legal guardian with the authority.
Affidavit of Guardianship PDF
I _____ (name and surname) declare that i am the legal guardian with the authority to act on behalf of the minor(s ) w ith. An affidavit of guardianship is a written statement in which a person is declared as the official guardian of a minor. I, _____, of legal age, single/married/widow, filipino citizen, and presently residing at _____, after.
A Guardianship Affidavit Is A Legal Document That Grants A Person Temporary Legal Rights To Another Person In The Absence Of A Parent Or Caregiver.
An affidavit of guardianship is a written statement in which a person is declared as the official guardian of a minor. I _____ (name and surname) declare that i am the legal guardian with the authority to act on behalf of the minor(s ) w ith. I, _____, of legal age, single/married/widow, filipino citizen, and presently residing at _____, after having been duly sworn to in accordance with law, do.





